Упр.35.2 ГДЗ Мордкович 10-11 класс (Алгебра)

Решение #1

Изображение 35.2а) (5)корень(243 * 1/32);б) (3)корень(8/125);в) (6)корень(64 * 1/729);г) (5)корень(7...

Решение #2

Изображение 35.2а) (5)корень(243 * 1/32);б) (3)корень(8/125);в) (6)корень(64 * 1/729);г) (5)корень(7...
Загрузка...

Рассмотрим вариант решения задания из учебника Мордкович, Семенов 11 класс, Мнемозина:
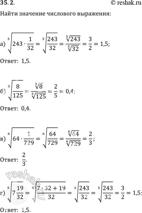
35.2
а) (5)корень(243 * 1/32);
б) (3)корень(8/125);
в) (6)корень(64 * 1/729);
г) (5)корень(7 19/32).
*Цитирирование задания со ссылкой на учебник производится исключительно в учебных целях для лучшего понимания разбора решения задания.
*размещая тексты в комментариях ниже, вы автоматически соглашаетесь с пользовательским соглашением