Упр.775 ГДЗ Дорофеев Суворова 8 класс (Алгебра)
Решение #1

Рассмотрим вариант решения задания из учебника Дорофеев, Суворова, Бунимович 8 класс, Просвещение:
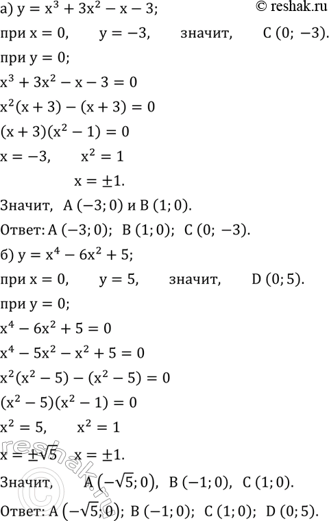
775. а) На рисунке 5.26 изображен график функции y=x^3+3x^2-x-3.
Найдите координаты точек A, B и C.
б) На рисунке 5.27 изображен график функции y=x^4-6x^2+5. Найдите координаты точек A, B, C и D.
*размещая тексты в комментариях ниже, вы автоматически соглашаетесь с пользовательским соглашением