Упр.92 ГДЗ Макарычев Миндюк 9 класс (Углубленный) (Алгебра)
Решение #1

Рассмотрим вариант решения задания из учебника Макарычев, Миндюк, Нешков 9 класс, Просвещение:
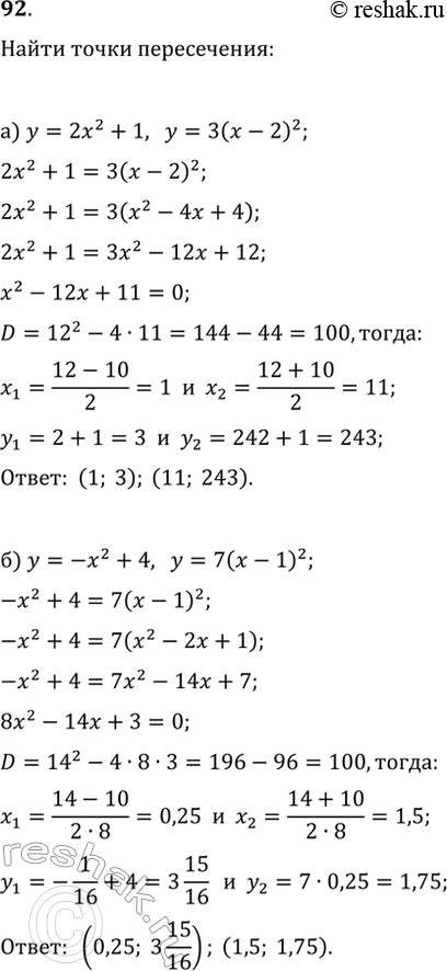
92. Найдите точки пересечения графиков функций:
а) y=2x^2+1 и y=3(x-2)^2; б) y=-x^2+4 и y=7(x-1)^2.
*размещая тексты в комментариях ниже, вы автоматически соглашаетесь с пользовательским соглашением